La masse musculaire dépend du nombre de fibres musculaires, de leur type et de leur taille.
Ces trois aspects peuvent etre influencés par un certain nombre de conditions, comme l'age ou la modification du type de fibres.
Les cellules satellites sont des cellules myogéniques précurseurs des fibres musculaires. Ces cellules sont responsables de la régénération musculaire après lésion. Pour ce faire elles doivent quitter leur état quiéscant pour achever leur développement.
La myostatine est un facteur de croissance dont la fonction est d'inhiber le développement de la masse musculaire. Elle bloque l'activation des cellules satellites.
Les animaux dépourvus de myostatine présentent une masse musculaire hypertrophiée.
Ces trois aspects peuvent etre influencés par un certain nombre de conditions, comme l'age ou la modification du type de fibres.
Les cellules satellites sont des cellules myogéniques précurseurs des fibres musculaires. Ces cellules sont responsables de la régénération musculaire après lésion. Pour ce faire elles doivent quitter leur état quiéscant pour achever leur développement.
La myostatine est un facteur de croissance dont la fonction est d'inhiber le développement de la masse musculaire. Elle bloque l'activation des cellules satellites.
Les animaux dépourvus de myostatine présentent une masse musculaire hypertrophiée.
Lévrier de course

Les éleveurs de whippets on récemment sélectionné des chiens tres musclés. Il s'agit d'une mutation du gène de la myostatine.
Il s'agit d'un gène autosomal récessif , ce qui veut dire non influencé par le sexe et devant être présent en double pour être pleinement actif.
Le gène sauvage est noté + , le gène muté est noté mh.
Les animaux correspondant au standart de la race sont +/+
Les animaux hypertrophiés sont mh/mh.
Les animaux +/mh ont une musculature intermédiaire.
Il existe une corrélation positive entre la vitesse en course et la présence de la mutation.
De telles mutations ont été découvertes chez la souris, les bovins, les moutons et chez l'homme.
Vous pouvez voir des photos en tapant "myostatine images" dans votre moteur de recherche.
Chez la souris la mutation entraine un plus grand nombre de fibres de type II avec une forte activité glycolytique , au détriment des fibres de type I. Ceci serait profitable au sprint.
Cependant les bovins atteints de cette mutation montrent un volume pulmonaire réduit, cela serait désavantageux pour les efforts de plus longue durée.
Il s'agit d'un gène autosomal récessif , ce qui veut dire non influencé par le sexe et devant être présent en double pour être pleinement actif.
Le gène sauvage est noté + , le gène muté est noté mh.
Les animaux correspondant au standart de la race sont +/+
Les animaux hypertrophiés sont mh/mh.
Les animaux +/mh ont une musculature intermédiaire.
Il existe une corrélation positive entre la vitesse en course et la présence de la mutation.
De telles mutations ont été découvertes chez la souris, les bovins, les moutons et chez l'homme.
Vous pouvez voir des photos en tapant "myostatine images" dans votre moteur de recherche.
Chez la souris la mutation entraine un plus grand nombre de fibres de type II avec une forte activité glycolytique , au détriment des fibres de type I. Ceci serait profitable au sprint.
Cependant les bovins atteints de cette mutation montrent un volume pulmonaire réduit, cela serait désavantageux pour les efforts de plus longue durée.
Polymorphisme du gène de la myostatine chez le cheval

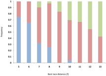
Les sprinters ont généralement une musculature plus développée que les stayers. Une équipe Irlandaise a récemment publié ses travaux sur le polymorphisme de la myostatine chez le cheval et les relations avec l'aptitude à la vitesse (Hill EW, Gu J, Eivers SS, Fonseca RG, McGivney BA, et al. (2010) A Sequence Polymorphism in MSTN Predicts Sprinting Ability and Racing Stamina in Thoroughbred Horses. PLoS ONE 5(1): e8645. doi:10.1371/journal.pone.0008645).
Le génotype de 179 vainqueurs de courses de groupe ou de listed race a été étudié. Cela montre que les C/C (en bleu sur le graphique) sont plus aptes à la vitesse que les C/T (rose). Les T/T (vert) sont plus aptes à la distance. Sur le graphique les distances sont en furlong (environ 200 metres).
Quel est l'avenir de cette découverte pour l'élevage du pur sang ?
Le génotype de 179 vainqueurs de courses de groupe ou de listed race a été étudié. Cela montre que les C/C (en bleu sur le graphique) sont plus aptes à la vitesse que les C/T (rose). Les T/T (vert) sont plus aptes à la distance. Sur le graphique les distances sont en furlong (environ 200 metres).
Quel est l'avenir de cette découverte pour l'élevage du pur sang ?